| Солнечно-земная |
На рис 1 представлен пример ППШ 28.09.1961г. Понижения величины поглощения в дневные часы вызваны так называемым эффектом полуденного восстановления ППШ. Он наблюдается вблизи границы полярной шапки и связан с изменением эффективной жесткости геомагнитного обрезания в зависимости от местного времени. Ассиметрия магнитосферы приводит к тому, что днем граница ППШ сдвигается в более высокие широты.

Резкий рост поглощения после начала магнитной бури связан с тем, что к ППШ добавляется авроральное поглощение, вызванное сбросом в атмосферу свежеускоренных электронов с энергией от единиц и до сотен кэВ.
Для непрерывного мониторинга Д-слоя ионосферы в полярных районах
Литтл и Лейнбах (1959) разработали специальные приемники, названные риометрами (прибор для измерения относительной непрозрачности ионосферы). Сеть риометров работает в Арктике и Антарктике, поставляя данные для исследования ППШ и аврорального поглощения, вызываемого электронами полярных сияний.
На рис.2 представлены результаты сопоставлния прямых измерений частиц и риометрических данных по 40 событиям поглощения полярной шапки.

Cплошная линия отражает соотношение поглощения космического радиоизлучения с величиной потока солнечных протонов в виде F = 20 A1.7,
где А - в дБ, F - поток протонов с Е > 10 МэВ, см-2 с-1 ср-1
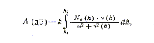
Величина поглощения может быть расчитана теоретически исходя их знания энергетического спектра протонов, модели атмосферы и характера взаимодействия частиц с атмосферой и прохождения радиоволн через ионизированные среды. Глубина проникновения протонов зависит от энергии и угла наклона траектории частицы (рис 3а). Расчетные профили ионизации проверяются по прямым измерениям с помощью ракет, на рис 3б приведены измеренные профили: 1 и 2 - для спокойных дней, остальные - во время ППШ.
![]() | ![]() |
| Рис 3. Глубина проникновения протонов с энергией 0.4 - 300 МэВ в зависимости от угла наклона траектории. | Рис.4 Профили электронной плотности, измеренные с помощью ракет в спокойное время (1.2) и во время ППШ (3-5) |
Сравнение расчетной величины удельного поглощения с экспериментальной даны на рис 5.
Как следует из приведенного выше выражения, величина поглощения уменьшаетсяя с ростом частоты волны. Используемая на практике полоса частот лежит в пределах от 10 до 50 мгц. Большая часть риометров моровой сети работает на частоте 30-32 мгц.
Приведенные в статье рисунки взяты из монографии В.М. Дриацкого.
Дриацкий В.М. Природа аномального поглощения космического радиоизлучения в нижней ионосфере высоких широт Гидрометеоиздат, Л., 1974, 224 стр.
BAILEY D.K. Planet. Space Sci., 12, 495, 1964.
BRYANT D.A., CLINE T.L., DESAI U.D., MCDONALD F.B. J. Geophye. Res., 67, 4983, 1962.
LITTLE C.G. LEINBACH H. Proc. IRE, 47, 315, 1959.
REID G.C. In Phyaics ot Geomagnetic Phenomena. eds. S.Matsushita, 'W.Campbell, New York, Academic Press, 1967, Ch. 4.
Назад, к оглавлению справочника