Солнечно-земная
Физика


Справочник


ТЕОРЕМА ЛИУВИЛЛЯ.

Теоремма Лиувилля утверждает, что функция распределения частиц f(x,v,t) постоянна вдоль фазовой траектории.
Применение ТЛ к распределению частиц в радиационных поясах позволяет в некоторых случаях связать питч-угловые распределения на разных расстояниях вдоль силовой линии. В частности, плотность частиц растет при движении вдоль силовой линии к Земле с ростом напряженности магнитного поля, если питч-угловое распределение спадает с уменьшением питч-угла. При изотропном распределении плотность частиц не меняется и характер распределения остается изотропным в любой точке силовой линии.

Следует иметь в виду, что указанные положения можно применять при стабильном не меняющемся во времени распредеделении частиц. В частности, измеренное изотропное распределение частиц ошибочно распространялось на всю силовую трубку без учета того факта, что изотропное распределение создавалось при кратковременном действии диффузионного механизма.


Из книги В.С. Мурзина "Космические лучи"

Если плотность частиц в некоторой области пространства такова, что они между собой не взаимодействуют, то можно доказать, что число частиц в элементе фазового объема остается постоянным. Если объем dΩ= dV dP, а число частиц dN, то их фазовая плотность равна
liu1 (12K) (1)

Теорема Лиувилля гласит, что движение частиц в электромагнит­ном поле происходит так, что dD/dt=0. Чтобы определить интен­сивность частиц

liu2 (15K)

(где σs — элемент площади, а σω — элемент телесного утла),
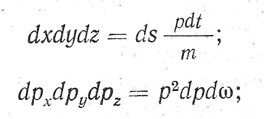
мы должны проинтегрировать выражение (1) по фазовому объему

liu3 (22K)

Очевидно, что
liu4 (38K)

тогда

liu5 (44K)

Поэтому

liu6 (10K)

Поскольку в интересующем нас случае р и m = соnst, то I пропорционально D и dI/dt=0. Следовательно, интенсивность частиц вдоль всей траектории не меняется.


Назад, к оглавлению справочника


Для связи:  lll@srd.sinp.msu.ru