![]() |
Солнечно-земная
| ![]() Статьи |
Область замкнутых силовых линий в магнитосфере содержит энергичные электроны, протоны и более тяжелые ионы в энергетическом интервале от нескольких кэВ до сотен МэВ (для протонов) и называется радиационным поясом (поясами) Земли. Частицы радиационных поясов захвачены геомагнитным полем и оставались бы в нем неопределенно долго, если бы не действие механизмов диффузии, ускорения и потерь.
Многие динамические процессы, поддерживающие существование радиационных поясов, в основном известны. Мелкомасштабные флуктуации электрического и магнитного полей вызывают радиальную диффузию этих частиц. Поскольку чисто диффузионный поток направлен при этом радиально к Земле, т.е. в область более высокой напряженности магнитного поля, частицы в дальнейшем ускоряются под действием бетатронного механизма. Наряду с этим резонансное взаимодействие низкоэнергичных частиц (осциллирующих и прецессирующих в геомагнитном поле) с гидромагнитными и ОНЧ-волнами вызывает диффузию вдоль магнитных силовых линий. Новый поток направлен от вершины силовой линии на экваторе к ее корням в атмосфере. Таком механизм диффузии по питч-углам. Когда захваченная частица высыпается в атмосферу, она быстро теряет свою энергию на ионизацию окружающей среды и таким образом выходит из состава радиационных поясов. Поэтому очевидно, что диффузия по питч-углам управляет механизмом потерь этих частиц.
Менее очевиден следующий факт: частицы и волны настолько эффективно взаимодействуют во внешней магнитосфере, что их потоки взаимозависимы. Например, если поток частиц возрастает выше определенного предела, волны усиливаются так, что соответствующее увеличение диффузии по питч-углам приводит к высыпанию из радиационного пояса избыточных частиц. Экспериментальные результаты говорят, что значения потоков частиц во внешней магнитосфере никогда не превышают пределов, определяемых взаимодействием волн с частицами. [1]
Взятые вместе, вышеперечисленные факты говорят о важности знания питч-углового распределения для уточнения механизмов потерь частиц, как во внешней магнитосфере, так и во внутренней, где одним из важнейших внешних факторов является атмосфера Земли.
При рассмотрении движения частицы или ее ведущего центра вдоль выделенной силовой линии можно использовать сохранение магнитного момента
(1)
Где
и
- питч-угол и модуль магнитного
поля на широте
;
и
- питч-угол и модуль магнитного поля в
начальной точке, вообще говоря, произвольной, за которую можно выбрать экватор.
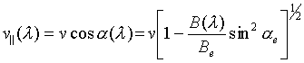
В данном соотношении предполагается постоянство скорости
вдоль силовой линии. Если инжектировать
частицу с питч-углом
в
точку, где напряженность поля
, она будет навиваться на силовую линию, двигаясь вдоль последней со
скоростью, определяемой выражениями
(2)
Если частица перемещается в область большей напряженности
магнитного поля, то
будет
уменьшаться. Когда она достигнет точки, где поле имеет величину
(3)
параллельная составляющая скорости обратится в нуль. В этом
случае движение частицы происходит только в направлении, перпендикулярном полю,
и ее питч-угол равен
. Кроме
того, существуют следующие соотношения
(4)
(5)
(6)
Заметим, что положение точки отражения, определяемое модулем
магнитного поля в этой точке
не зависит от параметров рассматриваемой частицы (если не считать ее
начальное положение и начальный питч-угол). Точки отражения определяются
исключительно геометрией магнитного поля, если силовые линии являются
эквипотенциалями (параллельная составляющая силы отсутствует).
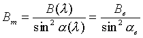
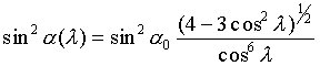
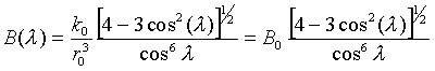
Выше не конкретизировалась конфигурация поля. Теперь рассмотрим простейший случай - дипольное поле, определяемое соотношением
(7)
где
-
радиус-вектор некоторой точки пространства, где измеряется поле,
-вектор магнитного момента точечного
магнитного диполя. Тогда модуль напряженности поля
вдоль выделенной силовой линии как функция
широты равен
(8)
где
(9)
- напряженность поля на экваторе.
Если инжектировать в дипольное поле частицу с экваториальным
питч-углом
, она будет
колебаться вдоль силовой линии между точками отражения, определяемыми (4).
Комбинируя (4) и (8) можно определить широту
точек отражения, решив (численно)
уравнение
(10)
Заметим, что для данного
широта
не зависит от конкретной силовой линии
(
или
). Другими словами, все частицы с данным
экваториальным питч-углом
отражаются в дипольном поле при одной и той же широте
, не связанной с местоположением ведущих
силовых линий, на которых они находятся.
Для земного дипольного поля существует верхний предел для
величины
: точка отражения
частицы всегда должна лежать выше земной поверхности (фактически выше плотных
слоев атмосферы):
(11)
где
определяется формулой
(12).
- это
широта на которой силовая линия с параметром
пересекает поверхность Земли.
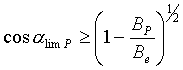
Следовательно, экваториальный питч-угол должен удовлетворять неравенству
(13)
Предельный питч-угол
равен половине угла раствора так называемого экваториального конуса
потерь: частицы, питч-угол которых лежит внутри конуса потерь, должны погибнуть
в плотной атмосфере прежде, чем смогут достичь своей точки отражения. Для
силовых линий близких к поверхности Земли
, раствор конуса потерь близок к
.
Навиваясь на дипольную силовую линию, частица имеет локальный
питч-угол
, связанный
соотношением (4) с экваториальным питч-углом
:
(14)
Этот питч-угол растет до
при
. При удалении частицы от экватора
расширяется и конус потерь:
(15)
его угол раствора стремится к
при
.
Введем понятие направленного потока частиц. Определим
направленный поток
частиц
данного сорта с заданной энергией как число частиц, приходящих с заданного
направления в единицу времени. Поток рассматривается в единичном интервале
телесного угла и в единичном интервале на поверхности единичной площадки,
ориентированной перпендикулярно направлению прихода частиц. В самом общем случае
для данного сорта частиц
будет функцией энергии
,
координат
, направления
прихода
и времени
:
. (16)
Величина
содержит в себе полную информацию относительно распределения частиц в
пространстве (
), по
направлениям скорости (
) и
по энергии (
) в заданный
момент времени. Величина (16) это то, что измерял бы идеальный направленный
детектор. В отсутствие взаимодействия между частицами и их группами
не должно содержать никакой
явной зависимости от времени. Кроме того, при таких условиях поток частиц с
некоторого заданного направления
равен потоку с противоположного направления:
. (17)
С учетом конечных угловых размеров детекторов вводят и другую величину - всенаправленный поток, который определяют как
. (18)
Последний представляет собой полное число частиц с заданной
энергией, которые приходят в единицу времени со всех направлений и пересекают
сферу с единичной площадью поверхности. Детектор, скорость счета которого
пропорциональна
(18),
называют всенаправленным детектором.
Рассмотрим свойства направленного и всенаправленного потока.
Выберем направление магнитного поля в качестве полярной оси сферической системы
координат. Направление прихода
определяется двумя углами: питч-углом
и азимутальным углом
. Если частицы равномерно распределены по
фазе циклотронного движения, то в заданной точке
поток не будет зависеть от
. Это значит, что поток
будет функцией только питч-угла частицы.
Число частиц с питч-углами
в интервале от
до
, проходящих через точку
за 1 с со всех азимутальных
направлений
, в расчете на
единичную площадку, перпендикулярную к направлению прихода и на единичный
интервал определяется формулой:
(19)
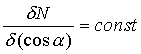
Изотропным потоком называется такой поток, в котором число приходящих частиц зависит только от угла раствора приемного детектора и не зависит от направления прихода.:
(относительно
)
или
(20).
Последнее выражение показывает, что при изотропном
распределении одинаковое число частиц приходится на одинаковые интервалы
изменения косинуса питч-угла (а не самого питч-угла). Вот почему гистограммы
питч-углового распределения обычно строятся для переменной
:
(21).
Теперь обратимся к вопросу о том, как направленный поток данной
группы частиц изменяется вдоль данной силовой трубки, образованной силовыми
линиями от площадки 1 до площадки 2, а также вдоль всей дрейфовой оболочки,
образуемой этими частицами. Теорема Лиувилля для захваченных частиц говорит, что
плотность частиц в фазовом пространстве
остается постоянной вдоль динамической
траектории частиц или:
(22а)
Для нерелятивистских частиц можно также написать:
(22б)
Если
не
меняется во времени, и силовые линии представляют собой эквипотенциали, либо
если вообще отсутствуют внешние силы, то
(22в)
Можно показать, что соотношения (22) остаются верны и в любой точке на дрейфовой оболочке.
Каждому питч-углу
в заданной точке
на силовой линии соответствует некоторое значение питч-угла
в экваториальной точке этой силовой линии.
Если поле потенциально, то связать и можно, используя (4):
. (23)
Знание питч-углового распределения
у экватора позволяет найти питч-угловое
распределение и интегральный поток в любой другой точке силовой линии. Это
обусловлено тем, что любая частица, колеблющаяся вдоль силовой линии, непременно
должна проходить через экваториальную точку.
С использованием приведенного выше равенства можно записать:
(24).
Таким образом, изотропное распределение в экваториальной плоскости приводит к изотропному же распределению всюду вдоль силовой линии.
Поток (24) обрезан при некотором нижнем предельном значении
угла
, который представляет
собой половину угла раствора конуса потерь. Частицы с питч-углами
должны были бы отразиться под земной
поверхностью или ниже поглощающего слоя атмосферы, а поэтому не могут
существовать даже один полный период осцилляций между точками отражений.
Пусть
-
напряженность поля в точке пересечения с этим поглощающим атмосферным слоем,
который, как считается, расположен на высоте 100 км от земной поверхности, тогда
для половинного раствора конуса потерь
в данной точке
получим
(25)
это означает, что
при
или 
Всенаправленный поток (18) в точке
на силовой линии, выраженный в виде
функции от локального
,
запишется следующим образом:

Это выражение можно преобразовать в интеграл от экваториального потока, если учесть (24) и проследить за соответствующими пределами интегрирования:
. (26)
И, наконец, перпендикулярный поток
в данной точке
на силовой линии связан с
формулой
(27)
Формулы (24), (26) и (27) показывают, как по направленному потоку в экваториальной точке можно определить все, что относится к потокам частиц во всех других точках силовой линии.
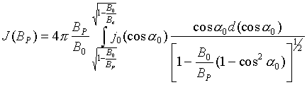
Соотношение (26) можно преобразовать в интеграл вдоль силовой линии:
(28)
Можно получить и обратное соотношение:
(29)
Если мы знаем всенаправленный поток вдоль всей силовой линии от
экватора до земной поверхности, то можем рассчитать и направленный поток
(т.е. питч-угловое
распределение) у экватора и в любой промежуточной точке с помощью выражений (28)
и (29):
Переход на другие страницы проекта "СиЗиФ"
|
| ![]() |
![]() |
|