Всякая физическая теория оперирует высказываниями, использующими
определенные числовые соотношения типа: <в момент времени t1 материальная
точка A имела координаты x1 ,y1 ,z1, а в момент t2 - x2 ,y2 ,z2 >. Взятые сами по себе, утверждения этого типа относятся к классу математических абстракций. В класс физических реалий они переходят лишь тогда, когда упомянутые величины являются наблюдаемыми, то-есть являются результатами каких-то физически реализуемых процедур измерения (наблюдения).
Наблюдать или измерить означает получить сообщение, содержащее соответствующую информацию. Очевидно, что такое сообщение должно кем-то или чем-то генерироваться. Таким образом, метрологическое обеспечение любой физической теории должно опираться на логически формализованную и физически реализуемую структуру генерации и приема сообщений, несущих информацию о значении наблюдаемых.
С другой стороны, всякая теория является таковой лишь в той степени, в которой представляет собой логическую структуру, построенную на определенной аксиоматике, достаточно полно отражающей представления о свойствах того фундамента, на котором эта структура строится. Мы попытаемся построить метрологическую структуру кинематики, используя в качестве аксиоматики лишь бесспорные свойства физического пространства-времени, т.е. того пространства, в котором происходят наблюдаемые физические события.
АКСИОМАТИКА.
Примем в качестве исходных аксиом следующие утверждения: существует
(т.е. может быть физически реализована) хотя бы одна система отсчета, с которой
можно связать систему координат, в которой
1) пространство однородно и изотропно;
2) время однородно;
3) скорость света конечна (постоянна, не зависит от точки излучения,
направления излучения и скорости источника);
4) физические события подчиняются принципу причинности.
В аксиоме 3) взятые в скобки утверждения не являются независимыми: постоянство является следствием аксиомы 2), независимость от места и направления излучения - аксиомы 1), а независимость от скорости источника, как будет показано ниже, есть следствие аксиомы 4).
Опираясь на данную систему аксиом, построим в данном пространстве физически реализуемую систему координат (в дальнейшем - привилегированная, или “Р-система”) и систему полностью формализованных процедур измерений кинематических переменных для макрообъектов, неподвижных и движущихся в Р-системе.
В дальнейших построениях мы будем пользоваться следующими понятиями.
МАТЕРИАЛЬНАЯ ТОЧКА. Это произвольный макрообъект, размеры и
внутренняяя структура которого несущественны для поставленной задачи.
(Понятие “точечности” в общем случае определяется ниже). Относительно
специальных свойств материальных точек, существенных для нашего рассмотрения,
будем полагать, что любая материальная точка:
1. является реальным физическим макротелом и может содержать
в своем составе любые физически реализуемые средства сообщения, измерения,
автоматики и переработки информации;
2. может перемещаться в пространстве с любой физически
реализуемой скоростью под действием внутренних сил (в пределах кинематики
имеем право причин движения не рассматривать);
3. не оказывает никаких воздействий кроме, быть может,
информационных, на другие материальные точки;
4. физическое событие приема или (и) передачи сообщения не
меняет кинематического состояния материальной точки.
КИНЕМАТИЧЕСКОЕ СОСТОЯНИЕ - это состояние материальной точки, полностью и однозначно (в рамках принятых ниже приближений) определяемое в терминах “пространство-время”, т.е. временем, пространственными координатами и производными пространственных координат по времени всех порядков.
НАБЛЮДАТЕЛЬ является макрообъектом, тождественным материальной точке, но способным принимать логические и-или волевые решения.
СООБЩЕНИЕ - это электромагнитный сигнал или система сигналов, несущая определенную и недвусмысленную информацию. Существование и кинематические свойства такого сигнала прямо предусматриваются постулатом 3). Относительно информационных свойств сообщения мы будем предполагать, что информационное содержание любого сообщения является наблюдательным инвариантом, то-есть не зависит от кинематического состояния наблюдателя. Иными словами, мы предполагаем, что существуют кинематически инвариантные коды (см. следствие 4. параграфа ПРИЧИННОСТЬ). Далее всюду текст вида <...> соответствует содержанию сообщения.
Из теории информации известно, что всякое физически реализуемое сообщение
(конечной длительности, передаваемое передатчиком конечной мощности и
принимаемое приемником с ненулевой температурой) может нести лишь конечное
количество информации, вследствии чего получаемые наблюдателем числовые
данные всегда могут быть представлены в цифровом виде с младшим значащим разрядом.
Поэтому в наших построениях движение в пространственно-временном континууме всегда и принципиально представлено для наблюдателя набором дискретных (квантованных) данных, и при построении мысленного эксперимента достаточно строить не континуальные координатные множества, а дискретные (решетки).
ЧАСЫ I. Это понятие является ключевым во всех дальнейших рассуждениях.
Под часами понимается процедура и устройство для измерения интервалов
времени. Вероятно, это понятие считается настолько интуитивно ясным, что
четкого его определения обычно не приводится. В теориях, опирающихся на
принцип относительности, это не приводит к каким-либо недоразумениям,
поскольку принцип относительности постулирует, что если какое-либо устройство
отображает ход времени в одной инерциальной системе координат, то оно
отображает ход времени и в любой другой. Однако, в нашу аксиматику принцип
относительности не входит, и без определения процедуры измерения времени и
метризации показаний часов мы просто не сможем работать.
Однако, пока речь идет о часах, неподвижных в Р-системе, мы также можем
не интересоваться их физической структурой, поскольку постулаты 1) и 2)
предопределяют позиционный релятивизм - ход любого процесса не может зависеть
от его трансляции в пространстве и времени и поворотов (но не вращения) в
пространстве. Поэтому на данном этапе рассуждений нам нужно учесть лишь
обязательную квантованность показаний физически реализуемых и наблюдаемых
часов. Исходя из этого, можем пока считать часами любой локальный источник
периодических нумеруемых сообщений. Термин “периодический” подразумевает,
что любая пара смежных сообщений может быть совмещена с любой другой парой
трансляцией во времени, например, с помощью линии задержки. Каждое такое
сообщение будем называть тактовым импульсом, интервал времени между двумя
смежными сообщениями - тактовым периодом, а номер сообщения - показанием
данных часов. Предполагается, что номер сообщения включается в само сообщение
и может быть принят любой материальной точкой, дешифрован и включен в
содержание собственного сообщения. Этот процесс и будет пониматься как
наблюдение или считывание показаний удаленных часов. Заметим, что он никак не
опирается на понятия “угол” и “угловое разрешение”.
Будем считать также, если не оговорено противное, что все часы,
покоящиеся в Р-системе, являются точными копиями (дублями) друг друга.
Физичность такого представления основывается на утверждении, что если
какая-либо структура и процесс могут быть реализованы в одной точке
пространства, то они могут быть реализованы и в любой другой. На такие
идентичные часы будем в дальнейшем ссылаться как на метрологические.
Заметим особо, что мы не можем использовать в метрологических целях
интервалы времени, меньшие тактового периода метрологических часов. С
метрологической точки зрения такие интервалы равны нулю.
МЕТРИЗАЦИЯ Р-ПРОСТРАНСТВА. Предположение о существовании P-системы
отсчета подразумевает, что в пространстве имеется неподвижная выделенная
точка и удаленные наблюдаемые объекты, к которым можно привязать начало и
ориентацию системы координат. Как уже упоминалось в параграфе "СООБЩЕНИЕ",
результаты любого физически реализуемого наблюдения являются по
необходимости квантованными, поэтому строить континуальную систему
координат бессмысленно, достаточно построить дискретную координатную решетку.
Под координатной решеткой будем понимать ранжированное в Р-пространстве
дискретное множество неподвижных (относительно системы отсчета)
материальных точек. Пусть в Р-пространстве имеются три неподвижные точки,
одну из которых назовем наблюдателем. Расстояния от двух точек до наблюдателя
считаются равными, если отклики от этих точек на точечный сигнал
наблюдателя принимаются наблюдателем одновременно. Противный случай
порождает оценку “больше, меньше”. Всякие две точки лежат на одной прямой с
наблюдателем, если они находятся на одном луче зрения, т.е. проектируются
друг на друга. Очевидно, что с помощью этих двух процедур можно выполнить в
физическом Р-пространстве все построения, выполняемые в эвклидовой геометрии
с помощью циркуля и линейки, в частности, разместить материальные точки в
узлах линейной, плоской или кубической решетки.
Выбор шага решетки в принципе совершенно произволен (во всяком случае,
пока в рассмотрение не вводятся квантовые эффекты), но мы будем предполагать,
что шаг решетки и критерий совмещенности таковы, что всякая материальная
точка может находиться в состоянии совмещения (см. далее) не более чем с одним
узлом решетки, так что ей всегда можно приписать определенный набор координат.
Поскольку по сделанному предположению все материальные точки, в том числе и
узлы координатной решетки, оснащены собственными часами, то количественно
шаг решетки определяется в рамках “локационной” процедуры.
Пусть имеются две материальные точки А и В, неподвижные относительно
построенной решетки. Из точки А посылается короткий сигнал при показании t0
часов А и принимается отклик от точки В при показании этих же часов t1. Назовем
расстоянием от точки А до точки В величину
Обратимость этого определения (lAB=lBA) и независимость от трансляций и
поворотов отрезка АВ в Р-системе очевидны. Но обратим внимание на другое его
свойство. Поскольку показания часов квантованы, то всегда существует такая
ненулевая окрестность точки А, при попадании в которую точки В отправление
сигнала и прием отклика произойдут при одном и том же показании часов А. При
этом обе части равенства обращаются в ноль (в виду постулированной конечности
с), и мы должны считать точки А и В совмещенными, хотя ни о каком реальном
физическом контакте или взаимодействии речи быть не может, а отправление
сигнала и прием отклика - событиями одновременными, поскольку судить о
длительности процесса мы должны только на основании показаний
метрологических часов.
Это положение естественно обобщается на понятие материальной точки,
как на протяженный, быть может, объект, любые две точки которого являются в
рамках выбранной метрологической структуры совмещенными, и на точечные
процессы, реальная длительность которых меньше единицы младшего разряда
метрологических часов и, следовательно, начало и конец которых метрологически
одновременны.
Присвоим каждому узлу решетки идентификатор в виде тройки целых
чисел i,j,k, отображающие координаты этого узла относительно выбранной нулевой
точки x=li, y=lj, z=lk. Очевидно, что тройка i,j,k однозначно определяет радиус-вектор
данного узла. Термин “присвоим” подразумевает, что каждая материальная точка
может вписать свой идентификатор в любое генерируемое ею сообщение.
Построенная таким образом решетка является системой
пространственных координат. Для того, чтобы превратить ее и в систему
временных координат, необходимо упорядочить абсолютные показания собственных
часов каждого узла. Воспользуемся для этого процедурой синхронизации по
Эйнштейну пространственно удаленных часов, которая состоит в следующем.
Пусть в P-пространстве покоятся материальные точки А и В на расстоянии cDt/2
друг от друга. В момент t0 по часам А из точки А посылается точечная команда <в момент приема команды
установить показания часов В равными t0 + Dt/2>. После исполнения этой команды часы А и В считаются
синхронизованными. Отметим три свойства этой процедуры:
1. Процедура синхронизации обратима. Это означает, что если мы
проведем синхронизацию пары часов А и В из точки А, а затем повторим
процедуру из точки В, то текущие показания часов А не изменятся.
2. Процедура синхронизации транзитивна. Если из точки А
синхронизовать часы В, а затем из точки В часы С, то часы А и С оказываются
также синхронизованными.
3. Для наблюдателя, равноудаленного от некоторого множества
синхронизованных часов, абсолютные показания этих часов одинаковы (с точностью
до единицы младшего разряда) в любой момент времени.
Синхронизованные часы узлов координатной P-решетки будем называть местными.
Два разноместных точечных события являются по определению одновременными,
если они происходят при одном и том же показании местных часов. В противном
случае мы будем говорить о том из них, которое произошло при большем (меньшем)
показании как о более позднем (раннем).
В дальнейшем мы будем рассматривать лишь процессы на ограниченных интервалах
пространства-времени, для чего нам необходимо метризовать не все
Р-пространство, а лишь тот его конечный локус, на котором рассматриваются
события. Метризация конечного локуса требует конечного времени, т.е. должна
рассматриваться как физически реализуемая.
ПУТЬ И СКОРОСТЬ ТОЧКИ в Р-системе координат. Пусть в P-пространстве
движется материальная точка А, совмещаясь последовательно с некоторым
множеством узлов координатной решетки. Предполагается, что всякая
материальная точка может детектировать такое совмещение "бортовыми"
средствами. В момент совмещения каждый узел запрашивает идентификатор
движущейся точки и генерирует сообщение < точка А совместилась с узлом R (R -
радиус-вектор данного узла, он же его идентификатор) в момент t по моим часам >.
Очевидно, что движение материальной точки порождает последовательность
подобных сообщений, которую мы будем символически обозначать как
РАССТОЯНИЕ МЕЖДУ ДВИЖУЩИМИСЯ ТОЧКАМИ. Пусть теперь в
P-пространстве движутся две материальные точки А и В, генерируя две
F-последовательности сообщений < RA ,tA > и < RB ,tB >. Выделим в этих
последовательностях пару сообщений, в которых tA = tB = t, тогда величину
|RA(t) - RB(t)| назовем расстоянием между точками А и В в момент времени t.
Легко видеть, что это есть процедурное обеспечение определения: "расстояние между
движущимися точками равно расстоянию между теми неподвижными точками, с
которыми движущиеся точки совмещаются одновременно".
ТРАНСЛЯЦИОННЫЙ РАЗГОН. Пусть в Р-системе отсчета покоится материальная точка (для простоты - в нуле координат), которая в момент времени 0 по местным часам начинает ускоренное движение по некоторой траектории, в момент T (по местным же часам) прекращает ускорение и далее движется по инерции. В процессе разгона эта точка генерирует F-последовательность
сообщений < R,t>, т.ч. < R1=0,t1=0>...< Rk=Rk,tk=T>.
для всех транслируемых часов в силу их идентичности одинаково. Тогда их абсолютные показания
t’= t’0 +
также будут одинаковы при одинаковых показаниях местных часов. Таким образом, в указанных условиях разноместные события, одновременные в Р-системе, одновременны и в системе движущихся часов, притом движущихся не обязательно инерциально. В дальнейшем любые две системы часов с этим свойством будем называть контемпоральными. Для сравнения напомним, что в кинематике СТО всегда найдется множество событий, одновременных в одной инерциальной системе и неодновременных в другой инерциальной же системе, движущейся относительно первой, например, события, лежащие на поверхности световой сферы.
Наконец, у нас появляется возможность определить структуру устройства, играющего роль метрологических часов, и при том чисто кинематическим образом, т.е. без каких-либо предположений относительно электродинамики движущихся сред.
ЧАСЫ II. Будем понимать под часами две материальные точки (макроскопические), обменивающиеся точечными электромагнитными сигналами и находящиеся на одинаковом и фиксированном расстоянии друг от друга (при измерении в Р-системе координат), в дальнейшем называемом базой часов. Никакой силовой связи между этими точками не предполагается. При получении отклика (или каждого n-го отклика) одна из этих двух компонент часов генерирует нумерованный тактовый импульс, как это описано в параграфе ЧАСЫ I. T’=T
где u - модуль безразмерной скорости (v/c)часов в Р- системе координат,
Здесь мы сталкиваемся с парадоксальной ситуацией: описанная структура, исправно отображающая ход времени, когда неподвижна в Р-системе, при движении в этой системе хода времени уже не отображает. В самом деле, в изотропном пространстве не существует ни преимущественной ориентации часов, ни преимущественного направления скорости трансляционного разгона, т.е. угол j вполне произволен. Более того, мы можем снабдить любую материальную точку несколькими часами с различной ориентацией, и все они будут иметь различный темп хода (dt’/dt = T/T’) в диапазоне от (1-u2) до (1-u2)1/2 и различные несинхронизуемые абсолютные показания. Время же, конечно, только одно.
РЕЗЮМЕ. Как следует из вышеизложенного, мы располагаем по крайней мере тремя альтернативными способами построения I-систем и измерительных приборов (процедур) для работы в этих системах: мы можем построить заново и метризовать систему координат, сопутствующую одной или нескольким точкам, по тем же правилам, по которым мы строили Р-систему, или, быть может, по каким-то другим; мы можем построить и метризовать нужную структуру как неподвижную в Р-системе, а затем связать ее трансляционным разгоном с заданной движущейся системой отсчета, и эта движущаяся система координат при определенных условиях окажется уже метризованной; наконец, мы можем взять любую из вышеперечисленных структур и, не перемещая физически ни одной точки относительно остальных, переметризовать ее по каким-то новым правилам. Существенными здесь являются два обстоятельства: во-первых, что метризация и переметризация I-систем принципиально не связана с каким-либо механическим перемещением и-или изменением физического состояния внутри этих систем - даже часы у нас не имеют механически движущихся частей, и,
во-вторых, что мы всегда можем рассматривать различные системы отсчета как совместно существующие в данном локусе пространства и способные к информационному внутри- и межсистемному обмену. В силу этого одной и той же системе материальных точек, движущихся с одной и той же скоростью относительно Р-системы, можно приписать сколько угодно различных метрик, и при том в рамках физически реализуемых процедур. Среди этих метрик есть такие, что любая пара событий, одновременных в Р-системе, одновременны и в данной системе (выше мы назвали любую пару систем с этим свойством контемпоральной). В предположении совместного существования Р-системы физическая реализация контемпоральной метризации движущейся системы весьма проста: пошлем из любой точки пространства команду <в момент t по местным часам установить показания собственных часов равными t+t Влияние метрологических соглашений иллюстрируется также в Приложении II к этому разделу. ПРИЛОЖЕНИЕ I.
Каждое сообщение описанной последовательности и будем считать тем
наблюдаемым, которое задает положение движущейся точки на четырехмерной
мировой линии в P-пространстве. Заметим, что эти сообщения
а. генерируются неподвижными в P-пространстве объектами, и
b. их содержание инвариантно для любого наблюдателя.
Именно эти наблюдаемые мы будем считать основанием при определениях
фундаментальных кинематических величин и построениях метрологических
процедур; в связи с чем назовем последовательности этого класса фундаментальными,
или F-последовательностями.
Само собой разумеется, что в момент совмещения любой узел может
запросить и получить показание собственных часов движущейся точки t' и включить
его в свое сообщение
Пусть < Ri ,ti > и < Rj ,tj > - два сообщения из данной F-последовательности
и j>i,
тогда
(Rj - Ri ) есть перемещение материальной точки (векторное) на интервале
времени (tj - tj), а
(Rj - Ri )/(tj - ti) - есть средняя скорость на этом временном интервале.
При инерциальном движении перемещение совпадает с путем (траекторией),
а средняя скорость - с мгновенной.
Очевидно, что F-последовательность может порождаться не только движущейся
материальной точкой, но и волновым фронтом или пакетом, поэтому естественно
считать, что скорость света также подпадает под приведенное метрологическое
определение.
ПРИЧИННОСТЬ. Отказавшись от использования принципа относительности,
мы уже не можем априорно постулировать равноправие движущейся и неподвижной точек. Например, из рассмотренных положений не следует, что если неподвижный наблюдатель принимает в момент совмещения с движущимся какое-то сообщение из данной временной последовательности сообщений, то и движущийся наблюдатель принимает в этот момент то же самое сообщение, а не более позднее или более
раннее. Покажем, что это утверждение, наряду с другими положениями кинематического характера, является следствием
принципа причинности.
Для этой цели нам необходима формализация причинности в терминах
“пространство, время, сообщения”. Пусть в пространстве имеется произвольный (в смысле кинематического состояния) точечный источник временной последовательности нумеруемых сообщений, причем сообщение с большим номером генерируется доверительно позже сообщения с меньшим номером по собственным часам источника. Тогда сформулируем принцип причинности
в виде следующего утверждения:
"никакой наблюдатель,принявший сообщение с номером i из данной последовательности на прямом пути, не может принять (ни на каком пути) сообщение с номером большим i доверительно ранее
сообщения с номером i".
Под прямым путем понимается распространение сигнала непосредственно из источника в приемник. Все прочие пути с участием в качестве посредников материальных сред, отражателей, ретрансляторов и т.д., считаются окольными. Связь этой формулировки с общепринятым пониманием причинности достаточно ясна. Поскольку в процедуре нумерации присвоение большего номера является следствием существования меньшего номера, то смысл приведенной формулировки предельно прост: следствие не может
наблюдаться (приниматься) раньше причины.
Из принципа причинности в данной формулировке непосредственно вытекает ряд кинематических следствий.
Следствие 1. Два произвольно движущихся относительно друг друга наблюдателя принимают в момент совмещения одно и то же сообщение из данной
временной последовательности.
Допустим противное, т.е. что наблюдатель А принимает сообщение с номером m, а наблюдатель В - сообщение с номером n, причем n>m. Поскольку на частоту генерации сообщений специальных ограничений не наложено, то без ограничения общности можно положить n>m+1. Очевидно, что наблюдатель В принял сообщение с номером m+1 ранее сообщения с номером n. Трансляция без задержки, что возможно по условию совмещения, сообщения с номером m+1 наблюдателю А приведет к приему этим наблюдателем сообщения с номером m+1 ранее приема (на прямом пути) сообщения с номером m, что
противоречит принципу причинности.
Следствие 2. Если два движущихся относительно друг друга источника А и В генерируют в момент совмещения соответственно сообщения <А> и <В>, то эти сообщения принимаются любым
наблюдателем одновременно.
Допустим противное, например, что сообщение <А> принято некоторым наблюдателем в момент t1 по его собственным часам, а сообщение <В> - в момент t2 > t1, тогда найдется сообщение <В'>, генерируемое источником В позже сообщения <В>, которое, будучи ретранслированным через источник А, будет принято наблюдателем в момент t, т.ч. t2 >t>t1 , что противоречит
принципу причинности.
Заметим, что доказательство справедливости следствия 2 опирается лишь на позиционное условие - совмещение источников в пространстве и сообщений во времени, но не зависит от скорости и прочих кинематических характеристик источников. Поэтому приведенное рассуждение является одновременно доказательством независимости скорости света от скорости источника. Таким образом, перечисленные в 3) в скобках фундаментальные свойства скорости света являются не независимыми принципами или даже наблюдательными фактами, но прямыми логическими следствиями аксиом 1),2) и 4). Таким образом, логически необходимо лишь утверждение “скорость света конечна”.
Все остальное - следствия.
Следствие 3. Никакой источник сообщений не может двигаться по прямой со скоростью, превышающей скорость
света.
В самом деле, чисто формально предположим, что генератор сигналов движется от неподвижного в Р-системе наблюдателя А к неподвижному наблюдателю В с конечной сверхсветовой скоростью. Тогда наблюдатель А будет принимать сообщения фундаментальной последовательности в причинном порядке, т.е. сообщение с большей временной координатой после сообщения с меньшей, а наблюдатель В - в силу независимости скорости света от скорости источника - в обратном порядке: сначала с большей временной координатой, а затем с меньшей, что прямо запрещается принципом причинности в
принятой формулировке.
Строго говоря, следствие 3. запрещает не существование сверхсветовых объектов, а их наблюдаемость. Заметим, что это следствие не запрещает движение источника со скоростью, равной скорости света, поскольку в этом случае наблюдатель В примет все сообщения данной последовательности
одновременно.
Следствие 4. Всякий код, основанный на временном порядке следования символов (например, последовательный двоичный), является кинематическим
инвариантом.
Действительно, каждый символ кодированного последовательным кодом сообщения является, в свою очередь, нумеруемым сообщением временной последовательности. По определению причинности никакой наблюдатель не может принять последующий символ ранее предыдущего, и порядок принятых символов от кинематического состояния наблюдателя зависеть
не может.
Если этот процесс физически реализуем с начальной точкой R=0,t=0, то точно такой же процесс реализуем (по крайней мере, с этой же или идентичной материальной точкой) и с любой другой мировой точкой R0,t0 в качестве начальной. “Точно такой же” означает, что сообщения F-последовательности будут иметь вид
< R1'= R0, t1'=t0>...< Ri'= Ri +R0, ti'= ti +t0>...< Rk'= Rk +R0, tk'= T+t0>.
Пусть теперь в рамках идентичных процессов разгоняются две (идентичные, если требуется) материальные точки А и А', причем процессы начинаются одновременно, т.е. при t0=0 по местным часам. Тогда в соответствии с фундаментальным определением расстояния между движущимися в Р-системе точками разность радиус-векторов точек равна R0 во все моменты времени до, в процессе и после разгона. Обеспечить физически одновременность начала процессов можно по крайней мере двумя способами: заранее вложенными программами “начать процесс при данном показании местных часов” или по сигналу от равноудаленного от А и А' источника (по крайней мере для четырех точек, не лежащих в одной плоскости,
такой всегда найдется).
Существенно,что физическая реализуемость описанного процесса, во-первых, несомненна, поскольку предопределяется аксиомами 1) и 2), и, во-вторых, не опирается на какой бы то ни было обмен между точками А и А', так что эти точки могут “ничего не знать” о существовании
друг друга.
Процесс естественно обобщается на любое счетное число материальных точек. Таким образом, определенные выше аксиоматика, методология и процедуры измерения предопределяют физическую возможность разгона произвольной конфигурации материальных точек с сохранением этой конфигурации от нулевой скорости в Р-системе отсчета до произвольной физически реализуемой. Уточним, что мы понимаем под сохранением конфигурации движущейся системы точек. Это означает, что конфигурация тех неподвижных в Р-системе точек, с которыми движущиеся точки совмещаются одновременно по местным часам, остается одной и той же, независимо от скорости движущейся системы. Факт одновременности и координаты этих неподвижных точек определяются из F-последовательностей сообщений и не зависят ни от кинематического состояния наблюдателя (в частности, не зависят от аберации), ни от последовательности
и моментов приема этих сообщений.
Поскольку эта процедура будет широко использоваться в дальнейших построениях, рассмотрим подробнее ее особенности и границы применимости.
Тождественность траекторий предполагает, что все отрезки прямых между материальными точками ускоряемой конфигурации перемещаются параллельно себе, т.е. транслируются. Всякий поворот эту тождественность нарушает, и сохранение длин уже не гарантируется. Отсюда и термин “трансляционный разгон”, а, например, не “эквидистантный”, ибо эквидистантность допускает чистые повороты, трансляция же
-- только параллельные переносы.
На первый взгляд может показаться, что трансляционный разгон возрождает понятие абсолютно твердого тела, что совершенно не так. Наоборот, существование для двух точек тождественных траекторий опирается на отсутствие какой бы то ни было силовой связи между этими точками. Стоит ввести такую связь, и все наши рассуждения рассыплются. Поэтому можно и нужно говорить о перемещении (движении) двух и более точек с сохранением расстояния между ними, т.е. длины отрезка прямой, но ничего нельзя сказать о возможности перемещения, например, стержня с сохранением его длины. Это вопрос не кинематики дискретных точек,
а динамики движущихся сред.
Принципиально важно, однако, что в рамках кинематики материальных точек и принятых метрологических соглашений трансляционный разгон является физически реализуемым явлением, и этой физической реализуемости должны отвечать какие-то другие теоретические
и физические реалии.
Во-первых, у нас появляется принципиально новая возможность построения систем координат, движущихся относительно Р-системы. Обычно молчаливо предполагается, что строить систему координат, связанную с системой отсчета, движущейся в исходной системе координат, мы должны по тем же правилам и теми же процедурами, которые использовались при построении исходной системы координат. Но мы можем поступить принципиально другим образом, а именно, задублировать каждый узел исходной Р-системы координат, а затем подвергнуть дубли трансляционному разгону. Очевидно, что полученная таким способом движущаяся система координат оказывается уже пространственно метризованной, без каких-либо дополнительных метрологических процедур. Эта метрика не будет соответствовать преобразованиям Лоренца, но, тем не менее, это метрика, к тому же не опирающаяся на инерциальность новой системы,
но лишь на ее трансляционность.
Во-вторых, рассмотрим важнейшее свойство трасляционного процесса, касающееся хода собственных часов транслируемых материальных точек. Предполагаем, что все рассматриваемые часы идентичны и синхронизованы перед началом трансляционного разгона. Темп хода движущихся часов, определяемый как отношение приращения показаний движущихся часов к приращению показаний местных, может зависеть от скорости, ускорений и конструкции часов, но не может зависеть от начальной точки разгона. При одинаковых начальных условиях (все часы в Р-системе покоятся) приращение показаний
dt' движущихся часов

![]()
Определенные таким образом часы принципиально являются структурой протяженной и ориентированной. Мы будем говорить о часах как о собственных часах материальной точки А, если с точкой А совмещена та компонента часов, которая генерирует тактовый импульс. Под идентичными часами будем считать часы с одинаковыми и параллельными базами.
Из определения следует, что при трансляционном разгоне любые часы остаются идентичными сами себе, а множество идентичных (например, в Р-системе координат) часов снова переходит в движущееся множество идентичных (как друг с другом, так и с неподвижными часами). Если перед началом разгона “подвижное” множество часов было синхронизовано с неподвижным множеством (например, имели показания местных часов), то, как было показано выше, подвижное множество образует с неподвижным контемпоральную систему временных координат, хотя их темп хода и абсолютные показания будут, естественно, различаться.
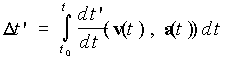
Как показано в Приложении I к этому разделу, тактовые периоды T’ инерциально движущихся в Р-системе часов соотносятся с тактовыми периодами T неподвижных как

j - угол между базой часов и вектором скорости
Тем не менее, мы получили вполне корректный и физически реализуемый измерительный прибор, измеряющий время единичного оборота электромагнитного сигнала, и наша задача - проследить возможные следствия физической реализуемости таких измерений. Частично этот вопрос исследуется в разделе ПРИЛОЖЕНИЯ К МЕХАНИКЕ.
В свете вышеизложенного мы приходим к заключению, что существует более чем один способ построения метрологических структур, движущихся друг относительно друга, посредством которых мы можем определять кинематические параметры материальных точек и их систем. Из чего следует, что выводы о свойствах пространства-времени (например, преобразования Лоренца и инвариантность скорости света в любой системе пространственно-временных координат) являются в значительной степени следствием определенных метрологических соглашений, пусть и не формализованных в явном виде, а не логически обязательным выводом из фундаментальных (симметрических) свойств пространства и времени, и даже не следствием наблюдательных фактов (опыты Майкельсона-Морли и смежные эксперименты), поскольку последние говорят скорее о свойствах сред, а не мирового пространства. Для иллюстрации: примем соглашение оценивать расстояние между пунктами А и В числом “верстовых столбов”, расставленных между этими двумя пунктами. Тогда, по определению, скорость экипажа, следующего по этому пути, есть данное число (инвариант в любой метрологии), деленное на интервал времени, ушедшего на путешествие. Вопрос в том, по каким часам мы будем измерять этот интервал. Если по собственным часам столбов, то скорость нашего экипажа никогда не превысит скорости света, если же по собственным часам экипажа, то эта скорость, в соответствии с любой теорией преобразования темпа хода часов, может стать сколь угодно большой.
Если теперь в этой системе мы проведем заново, например, процедуру синхронизации по Эйнштейну, то контемпоральность разрушится. Но это будет не обязательная метризация, без которой система точек не является системой координат, а необязательная, как с физической, так и с метрологической точек зрения, переметризация уже метризованной системы координат.
Из сказанного ясно, что метрика системы координат является не ее физическим аттрибутом, но скорее предметом соглашения относительно метрологических оснований ее информационной организации. Но вид физических законов и выводов из них от метризации зависит непосредственно. В связи с этим выявление логических следствий той или иной метрологии и сопоставление этих следствий с наблюдаемыми фактами должно представлять немалый интерес для теоретической физики.
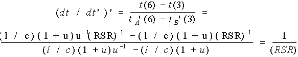
Пусть в координатной решетке движутся с постоянной и равной скоростью v точки А и В на расстоянии L друг от друга, причем вектор скорости составляет с отрезком АВ угол j (Рис.1). В момент 0 по местным часам из точки А излучается точечный сигнал. Найдем показание t1 местных часов точки В в момент приема ею этого сигнала, и показания t3 местных часов точки А в момент приема отклика.
Очевидно, что за время распространения сигнала t1 отрезок переместится из положения АВ в положение А1 В1, причем (u=v/c)
AA1=BB1=vt1 =uct1
Разрешая треугольник АВВ
1 относительно t1 , получим
![]()
Пусть теперь сигнал отражается от точки В (в положении В
1) и принимается точкой А (в положении А2). Интервал времени t2 между этими событиями определяется либо разрешением треугольника A1 B1 A2, либо просто из (1) заменой j на j + p:
Очевидно, что
t3 = t1 +t2 =
(3)
По определению, отрезок прямой, между концами которого циркулирует точечный электромагнитный сигнал, является фундаментальными часами. Поскольку в наших процедурах расстояние между движущимися точками определяется через расстояние между неподвижными, то величина 2L/c есть
минимальный тактовый период часов с базой L, неподвижных в Р-системе, а t3 является минимальным тактовым периодом движущихся в Р-системе часов, выраженным через показания таких же неподвижных. Таким образом, формула (3) является скоростным преобразованием хода фундаментальных часов.T’=T
(3’)
или

![]()
Уточним, каким, собственно, наблюдениям соответствуют преобразования (3'),(3”). Пусть в координатной решетке Р-системы отсчета движется по инерции материальная точка с собственными часами, которые являются транслируемым дубликатом часов координатной P-решетки. В момент совмещения движущейся точки с данным узлом показание собственных часов движущейся точки t' сообщается узлу и последний вписывает их в фундаментальное сообщение о совмещении, которое, таким образом, приобретает общий вид <R,t,t’>. Рассмотрим пару сообщений из этой последовательности <R
i,ti,ti’> и <Rk,tk,tk’>, k>i, тогда утверждается, что
Обратную величину мы и будем называть темпом хода движущихся часов относительно неподвижных (при инерциальном движении она совпадает с dt’/dt). Как содержание сообщений, это отношение инвариантно для всех наблюдателей и не подвержено, в частности, доплеровским преобразованиям.
ПРИЛОЖЕНИЕ II. Сравнение метрологических процедур
.Ниже рассматриваются результаты применения различных метрологических процедур к одной и той же физической ситуации - инерциальному движению ансамбля из трех материальных точек в Р-системе координат.
Исследуем детально и с разных точек зрения следующую ситуацию (Рис.2).
C C’ y = l
0 x1 x2 x3 x4 x
A A’ B B’
Рис.2
Пусть в Р-системе движутся вдоль оси x со скоростью u=v/c материальные точки А,В и С, координаты которых, измеренные одновременно в Р-системе удовлетворяют условиям:
x
B-xA=lyA=yB=0,
xC=xA, yC=l,
zA=zB=zC=0;
причем координаты, скорость и одновременность определяются на основании содержания фундаментальных сообщений.
Положим далее, что каждая из точек А,В,С имеет по крайней мере пару собственных часов, база которых при измерении из Р-системы равна базе Р-часов, но одни часы из каждой пары ориентированы параллельно отрезку АС, а другие - отрезку АВ. Будем называть первые I’-часами и обозначать их показания как t’, а вторые - I”-часами (соответственно, t”).
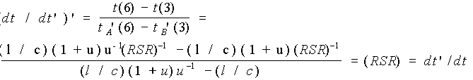
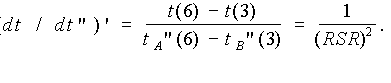
На основании формулы (3”) (M3)

находим, что темп хода I’-часов (
j = p/2)![]()
а темп хода I”-часов (
j = 0)![]()
I.
Метризуем систему точек А,В,С, опираясь на показания I’-часов (как I’-систему отсчета). В Р-системе время обращения сигнала по пути АСА
(RSR)=
,
по пути АВА

в I’-системе
D
t’ABA= Dt’ACA= Dt(dt’/dt)=2l/c.В соответствии с формулой
D
l’ = cDt’/2 = lприпишем точкам А,В и С координаты в I’-системе
xA’ = yA’ = zA’ = 0;
xB’ = l, yA’ = zA’ = 0;
yC’ = l, xC’ = zC’ = 0.
Как и для узловых точек Р-системы отсчета, назначим координаты точек А,В,С в I’-системе их идентификаторами.
Теперь нужно синхронизовать часы. Будем считать, что в некоторый момент точка А совмещена с нулем Р-координат (x=y=z=t=0). В этот момент она устанавливает показания своих часов равными 0 и посылает точкам В и С команду <в момент приема команды установить показания собственных I’-часов равными l/c>. После исполнения этой команды все I’-часы синхронизованы, и при том по Эйнштейну (как и часы Р-системы).
Теперь мы можем использовать сообщения о совмещениях точек А,В,С с различными точками, неподвижными в Р-системе, как совместное описание движения в Р- и I’-системах. При этом нам совершенно безразлично, какая именно из совмещенных точек является физическим излучателем сообщения, каким наблюдателем, на каком пути (прямом или окольном) и в какой момент оно принимается. Важно лишь, чтобы содержания всех рассматриваемых сообщений оказались в одном месте в одно время.
На оси x нас будут интересовать события, состоящие в совмещении:
1. точки А с началом Р-координат, сообщение об этом событии имеет вид
<x = 0, t = 0, xA’ = 0, tA’ = 0>;
2. точки В с точкой x
3 , т.ч. показания местных часов при совмещении равнялись нулю<x3=l(RSR), t=0, xB’=l, tB
’ - не определено>;3. точки В с точкой x
4 в момент приема точкой В команды синхронизации<x4=l(1+u)(RSR)-1, t=(l/c)(1+u)(RSR)-1, x’=l, tB’=l/c>;
4. точки А с точкой x
1 при показании часов А равными показаниию часов В в точке x4 (т.е. эти события одновременны в I’-системе)<x1=vt=lu(RSR)-1, t= tA’(dt/dt’)=(l/c)(RSR)-1, xA’=0, tA’=l/c>;
5. точки А с точкой x
2 в тот момент по местным часам, в который точка В совместилась с точкой x4 (т.е. эти события одновременны в Р-системе)<x2=vt=lu(1+u)(RSR)-1, t=(l/c)(1+u)(RSR)-1,
xA’=0, tA’=t(RSR)= (l/c)(1+u)>;
6.
точки А с точкой x4<x4=l(1+u)(RSR)-1, t=x4/v=(l/c)(1+u)u-1(RSR)-1,
x’=0, tA’= t(dt’/dt)= (l/c)(1+u)u-1>;
7. точки С с точкой С’, при котором показания часов С равны показаниям часов А в точке x
1 и часов В в точке x4; поскольку время распространения сигнала из точки А в точку С равно (l/c)(RSR)-1 по Р-часам, то<xC’=lu(RSR)-1, yC’=l, tC’=(l/c)(RSR)-1, yC’=l, tC’=l/c>.
Сравнивая временные компоненты сообщений 3. и 5. (или/и 3. и 4.), легко видеть, что те события на оси x(или x’), которые одновременны в Р-системе, неодновременны в I’-cистеме и наоборот. Напротив, из сравнения 4. и 7. видно, что события на оси y’, одновременные в I’-системе, одновременны и в Р-системе.
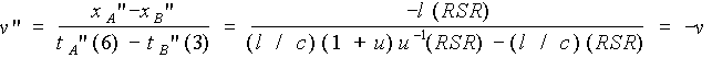
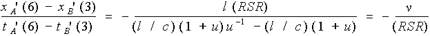
Найдем значения скорости Р-системы, длин отрезков и темпа хода Р-часов при измерениях в I’-системе, пользуясь теми же процедурами, которые были использованы при определении соответствующих параметров движущихся объектов в Р-системе отсчета.
Определим скорость точки x
4 в I’-системе. В соответствии с определением,
![]()
здесь и далее в скобках при координате дается номер сообщения, из которого должна браться эта координата.
Длина отрезка оси x, концы которого совмещаются с точками А и В одновременно в I’-системе, очевидно есть
D
x=x4-x1= l(1+u)(RSR)-1 - lu(RSR)-1 = l(RSR)-1 .Наконец, темп хода Р-часов, измеренный в I’-системе, который обозначим как (dt/dt’)’-не путать с dt/dt’- найдем для собственных часов точки x
4 как разность показаний этих часов при совмещении с точками А и В, поделенную на разность показаний часов А и часов В при этих же событиях, т.е.
Таким образом, при данном способе метризации I’-системы отсчета преобразования длин, скорости и темпа хода часов при переходе из Р-системы в I’-систему являются Лоренцовыми.
II. Теперь повторим в тех же условиях те же процедуры метризации и измерений, но для I”-часов.
Поскольку описание движений в Р-системе на показания движущихся часов не опирается, то координаты точек x
2, x3, x4 и показания их часов в соответствующих событиях остаются неизменными. Время оборота сигнала по путям АВА и АСА в I”-системе (по собственным I”-часам точки А)D
tA”=(2l/c)(RSR),и в соответствии с локационной процедурой измерения расстояний
xA”=0, xB”=yC”=l(RSR);
показания I”-часов точки А связаны с показаниями местных часов соотношением
tA”= t(dt”/dt)=t(RSR)2.
Опираясь на вышеизложенное, получаем новое содержание сообщений 1.-7.:
1. <x = 0, t=0, xA” = 0, tA” = 0>;
2. <x3=l(RSR), t=0, xB”=l(RSR), tB
” - не определено>;3. <x4=l(1+u)(RSR)-1, t=(l/c)(1+u)(RSR)-1,
xB”=l(RSR), tB”=(l/c)(RSR)>;
4.
<x1=vt=lu(RSR)-1, t=tA”(dt/dt”)=(l/c)(RSR)-1,xA”=0, tA” = (l/c)(RSR)>;
5.
<x2=vt=lu(1+u)(RSR)-1, t=(l/c)(1+u)(RSR)-1,xA”=0, tA”=t(RSR)2 = (l/c)(1+u)(RSR)>;
6.
<x4=l(1+u)(RSR)-1, t=x4/v=(l/c)(1+u)u-1(RSR)-1,xA”=0, tA”= t(dt”/dt)= (l/c)(1+u)u-1 (RSR)>;
7.
<xC’=lu(RSR)-1, yC’=l, tC’=(l/c)(RSR)-1,xC’=0, yC”=l(RSR), tC”=(l/c)(RSR)>.

D
x=x4-x1= l(1+u)(RSR)-1 - lu(RSR)-1 = l(RSR)-1 .
III. А теперь проведем метризацию нашей I-системы, используя предполагаемое![]()
физическое наличие Р-системы. Для этого заложим в точки А,В,С в отрицательные моменты времени по местным часам команду: <в момент 0 по местным часам установить показания всех собственных часов равными 0 и присвоить идентификатор (т.е. значения координат в Р-системе) местных часов>.
В этих условиях установим содержание сообщений 1.-7., включая в них показания как I’-, так и I”-часов.
1. <x = 0, t=0, xA’ = 0, tA’ =0, tA” = 0>;
2. <x3=l(RSR), t=0, xB’=l(RSR), tB’ =0, tB” =0>;
3. <x4=l(1+u)(RSR)-1, t=(l/c)(1+u)(RSR)-1,
xB’=l(RSR), tB’=t(dt’/dt)= (l/c)(1+u)
tB”=t(dt”/dt)= (l/c)(1+u)(RSR)>;
4.
<x1=vt=lu(RSR)-1, t=x1/v =(l/c)(RSR)-1,xA’=0, tA’ = (l/c), tA” = (l/c)(RSR)>;
5.
<x2=x4-l(RSR) =lu(1+u)(RSR)-1, t=x2/v=(l/c)(1+u)(RSR)-1,xA’=0, tA’=(l/c)(1+u), tA”=(l/c)(1+u)(RSR)>;
6.
<x4=l(1+u)(RSR)-1, t=x4/v=(l/c)(1+u)u-1(RSR)-1,xA’=0, tA’= (l/c)(1+u)u-1, tA”= (l/c)(1+u)u-1 (RSR)>;
7.
<xC’=lu(RSR)-1, yC’=l, tC’=(l/c)(RSR)-1,xC’=0, yC’=l, tC’=(l/c), tC”=(l/c)(RSR)>.
Скорости v’ и v” определяем по-прежнему на основании сообщений 3. и 6.
v’=
;
соостветственно
v”=
.
Длина отрезка оси x, совпадающего с отрезком АВ одновременно как по I’-, так и по I”-часам, должна теперь определяться по сообщениям 3. и 5. (а не 3. и 4., как в случаях I и II)
D
x= x4-x2= l(RSR),yC(7) = yC’(7)= l.
Относительные темпы хода Р-часов определим также по сообщениям 3. и 6.

![]()

См. дальше ГЛАВА 3 ГЛАВА 4
Назад, ГЛАВА 1
HOME СиЗиФ